异基因造血干细胞移植(Allogeneic hematopoietic stem cell transplantation,allo-HSCT)是治疗血液病的有效方法,然而移植后慢性移植物抗宿主病(chronic graft-versus-host disease,cGVHD)发病率达30%-70%。激素是新诊断的cGVHD患者的一线治疗,但只有50%的患者有效,此外,长期使用会导致各种严重的副作用,并增加其他器官并发症的风险。激素难治性cGVHD(Steroid-refractory cGVHD,SR-cGVHD)为治疗带来了新的巨大挑战,严重影响着患者的生活质量和生存情况。
在本中心的前期研究中,已发现伊马替尼单药可有效治疗SR-cGVHD,总缓解率(Overall response rate, ORR)为62.5%,完全缓解(Complete response, CR)率为12.5%,表明单药治疗有效,但CR率仍然有限,无法满足临床治疗需求。伊马替尼可以调节T细胞功能并促进免疫恢复,他汀类药物不仅可以调节T细胞功能,同时也具有内皮保护和抗纤维化的作用。将伊马替尼和阿托伐他汀两种药物进行联合治疗,是否能够强化抗cGVHD的效应,提高SR-cGVHD的疗效仍然未知。因此,陆军军医大学第二附属医院(新桥医院)血液病医学中心陈婷副教授、张曦教授、孔佩艳教授设计了一项前瞻性、单臂、开放标签的临床试验,研究甲磺酸伊马替尼和阿托伐他汀钙的联合疗法治疗SR-cGVHD的疗效和安全性。

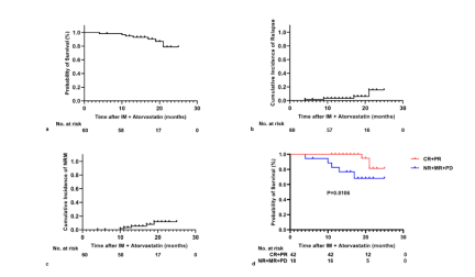
该研究共纳入60例SR-cGVHD的患者,45%(27/60) 的患者为中度cGVHD,55.0%(33/60) 的患者为重度cGVHD,主要研究终点是联合治疗6个月后的总缓解率(ORR),次要终点包括生存率、T细胞亚群变化和不良事件的评估。在联合治疗6个月后,70.0%的患者达到了ORR,26.7%的患者实现了完全缓解(CR),其中肝脏、皮肤、眼睛和口腔的ORR率分别为80.6%、78.1%、61.5%和60.9%,肝脏为靶器官的CR率最高,相较于伊马替尼单药治疗疗效更优。实现ORR患者的激素剂量可减少,共有11.7%(7/60)的患者能够停止免疫抑制治疗。中度cGVHD患者的CR率高于重度cGVHD患者,达到ORR患者的总体生存得到改善,肺部受累是影响ORR的独立危险因素。在有临床反应的患者中,Th17细胞的比例降低,Treg细胞在治疗后增加,不良事件均为1-2级,联合治疗耐受性良好。

该研究证实了甲磺酸伊马替尼和阿托伐他汀钙联合治疗SR-cGVHD有效,可显著降低靶器官损伤,尤其是肝损伤,其中T细胞功能的调节可能在治疗过程中发挥重要作用。
第一作者陈婷副主任医师

陆军军医大学新桥医院血液病医学中心副主任医师
从事造血干细胞移植的基础及临床研究
中国康复医学血液病康复专委会委员
重庆市医学会血液分会干细胞移植学组委员
重庆市抗癌协会血液肿瘤专委会委员
重庆市健康促进与健康教育学会血液肿瘤专委会副主任委员
获2023年第十一届重庆市青年名医
主持重庆市及省部级课题3项
参与多项国家级及省部级课题研究
以第一完成人获校级二级甲等新技术
在JAMA Oncology, JCI Insight等杂志发表论文多篇
通讯作者张曦教授

陆军军医大学第二附属医院血液病医学中心主任
中国人民解放军血液病中心(军队临床重点专科)主任
主任医师、教授,博士(后)导师;长江学者特聘教授
主要从事“造血干细胞移植”的临床与基础研究,主持国家干细胞重点研发专项、国家自然科学基金重点类项目、军队课题重点项目、重庆市自然科学基金重点课题等46项;在JCO、JAMA Oncology、JHO、Lancet Haematology 、Blood、JCI、Leukemia等杂志发表SCI论文132篇,主编专著3部,副主编2部;执笔行业指南10项,参编30项;获国家科技进步二等奖1项、中华医学会科技一等奖1项、重庆市科技进步一等奖3项、二等奖1项、军队医疗/科技成果二等奖3项、中国抗癌协会科技奖三等奖1项、重庆市高等院校优秀教育科研成果三等奖1项,获批国家发明专利45项。
目前担任中华医学会血液学分会常务委员、造血干细胞移植学组副组长、中国医师协会血液科医师分会常务委员、中国抗癌协会血液肿瘤专委会副主任委员、中国血液病专科联盟副理事长、中国病理生理学会实验血液学专委会常务委员、Blood & Genomics 杂志主编;The Lancet,JHO,Leukemia,The Lancet Haematology ,Science Bulletin、CMJ、中华血液学杂志等杂志编委和审稿专家。
通讯作者孔佩艳教授

陆军军医大学新桥医院血液病医学中心主任医师、教授,医学博士后,博士生导师
主要从事“难治性血液病诊治”的临床与基础研究
承担国家科技部课题1 项,重庆市科委攻关课题 1 项,全军十一五课题面上项目 1 项,第三军医大学临床科研课题 1 项。获国家科技进步二等奖、军队医疗成果二等奖、中华医学科技一等奖、重庆市科技进步一等奖、重庆市科技进步二等奖、军队科技进步二等奖各 1 项。近五年发表SCI论文 15 篇,国家中文统计源期刊收录论文 70 余篇;主编专著 2 部,副主编专著 1 部,参编专著 3 部。
担任中华医学会血液学分会出血与血栓学组全国委员、重庆市医学会血液病学专委会委员、重庆市中西医结合学会血液专委会常务委员、重庆市医疗事故鉴定专家、重庆市突发公共卫生事件救援等学术任职。